
이번에는 Min, Max 함수에 대해 알아 볼 예정이다.
Min, Max 함수는 그 단어에서 예측이 가능하 듯 최소값과 최대값을 구하는 함수이다.
사실 사용빈도는 그리 많진 않지만 통계관련 종사자들은 그래도 사용빈도가 좀 있을 것이다.
실습에 앞서 상상을 해보자.
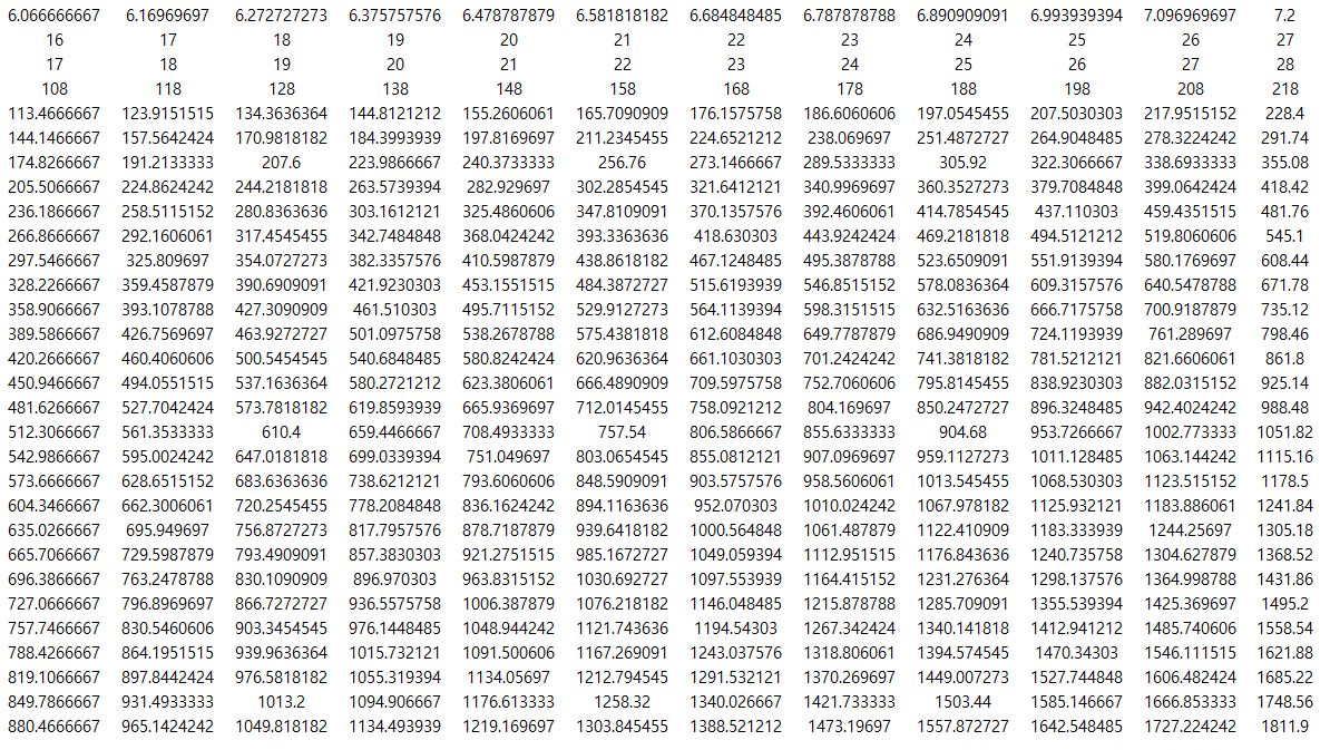
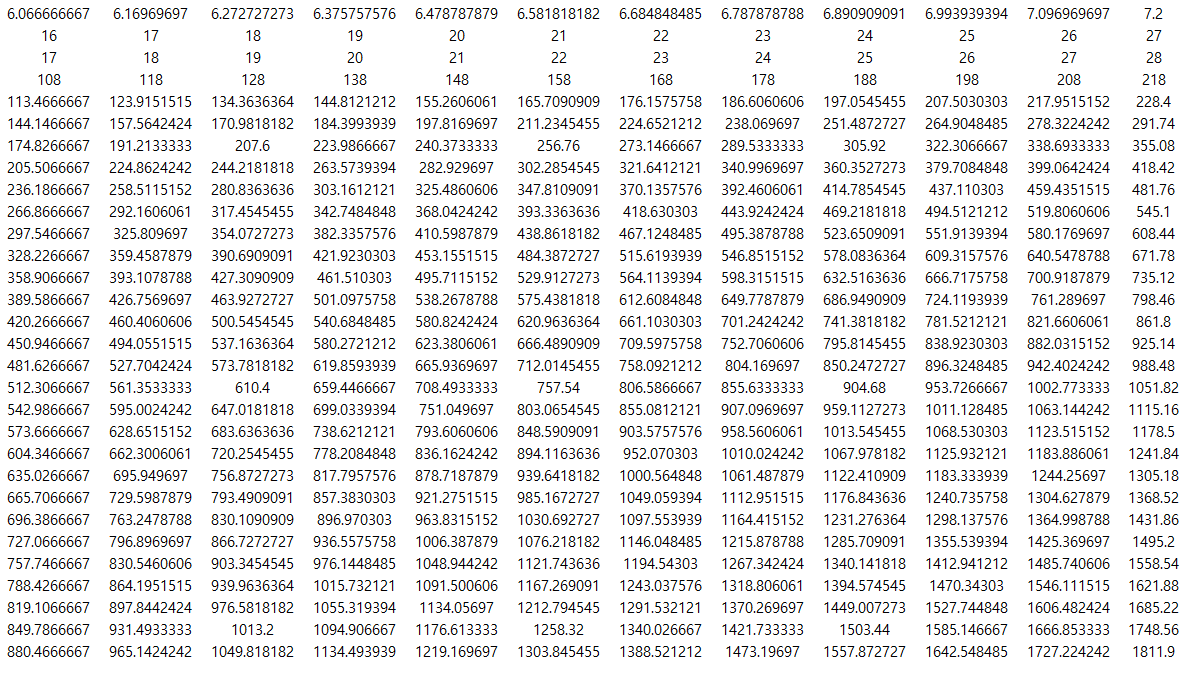
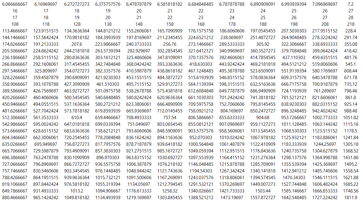
가로 1000 X 세로 1000의 총 1,000,000개의 데이터셋이 있다고 가정해보자.
이 중 제일 작은 값 또는 제일 큰 값을 구할때 어떻게 할 것인가.
100만개의 데이터를 눈으로 보며 직접 찾거나 1000개의 컬럼을 작은 순으로 정렬해가며 찾아야할 것이다.
이때 유용하게 사용할 수 있는 함수가 바로 Min, Max 함수이다.
이 함수를 통하여 범위만 지정해주면 범위내 최소값과 최대값을 구할 수 있다.
함수 사용법은 =min(범위) OR =max(범위)이다.
그럼 실습을 들어가보자.

1부터 10까지의 숫자를 섞어 보았다.
Min, Max 함수를 이용하면 1과 10을 구할 수 있다.
그냥 눈으로도 확인이 가능한 양의 데이터라면 육안으로 확인 가능하겠지만....

이렇게 소수점까지 있는 큰 데이터라면....?
Min, Max 함수를 활용하면 최소값은 1, 최대값은 1811.9를 손 쉽게 구할 수 있다.
이런 함수를 놔두고 눈으로 찾는다면 쉽게 최소값과 최대값을 구하긴 어려울 것이다. 또 구하더라도 실수할 확률이 높아질 것이다.
따라서 육안으로 확인이 힘들 정도의 데이터셋이라면 반드시 함수를 활용할 것을 권장한다.
Min, Max 함수는 산업마다 사용빈도의 차이는 있을 수 있지만, 이해하기 쉽고 사용이 간편해 알고 있으면 유용하게 쓰인다.
오늘의 포스팅은 여기까지 마치며....
번외로 필자는 이런 잡함수(?)도 버리지 않고 다 한번씩 실습 해보거나 활용하길 권한다.
이런 잡함수는 단독사용으로는 거의 사용을 안하나, 다른 함수와 조합하여 빈번히 사용되는 일이 많고 이러한 함수들이 모여 엑셀 자동화의 원동력이 되기 때문이다.
또 잡함수의 경우 딱 한번만 사용해보면 금방 익힐 수 있기 때문에, 필요 없다고 버린다면 결국 나중에 다시 찾아보게 되는 경우도 생긴다.
엑셀공부를 나름 열심히 하는데 늘지 않는다고 실망하지 말라, 원래 공부라는게 몇일 한다고 게임에서 레벨이 오르듯 성장과정이 보이진 않는다.
꾸준히 공부하면서 다양한 엑셀 업무경험을 한다면 어느새 엑셀 고수의 자리에 올라가 있을 것이다.
실행할 수 있는 목표를 세우고 꾸준히 노력하라!
그리고 공부한 것을 평가할땐 일단위, 주단위가 아닌 최소 반기~연단위의 기간을 두고 평가하길 권한다.
정말 꾸준히 노력한 사람들은 반기~연단위 평가시 확연한 차이를 보일 것이며, 성장한 자신을 보고 뿌듯할 것이다.
요약
1. MIN, MAX함수 사용법 : =min(최소값을 구할 셀), =max(최대값을 구할 셀)
2. 주의사항 : 범위는 반드시 숫자로만 구성되어야함
3. 난이도 : 매우쉬움
'엑셀(Excel)' 카테고리의 다른 글
| 열을 붙여보자! 엑셀함수 VLOOKUP (0) | 2020.02.09 |
|---|---|
| 절대값 함수, 엑셀 ABS (1) | 2020.02.08 |
| 순위를 구해보자! 엑셀 함수 RANK (0) | 2020.02.06 |
| 평균값 계산하기 - 엑셀 함수 AVERAGE (0) | 2020.02.05 |
| 숫자 합계 계산하기 - 엑셀 함수 SUM (0) | 2020.02.04 |